Cy3 azide trisulfo
Cy3 azide trisulfo - 5mg is backordered and will ship as soon as it is back in stock.
Couldn't load pickup availability
Sign up to be the first to know when this product is in stock
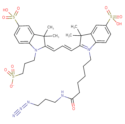
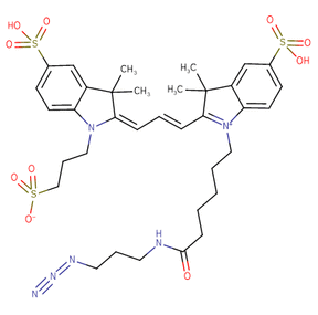
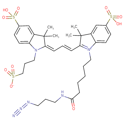
Cy3 azide, trisulfo is a azide-activated fluorescent dyes for chemoselective labeling and detection of alkyne-tagged molecules. The azide group (N3) reacts with terminal alkynes to produce a stable triazole, also referred to as the Cu(I)?catalyzed free click reaction. Azide and alkyne groups do not react or interfere with other functional groups found in biological samples but conjugate to one another with high efficiency. Solubility – reagent easily dissolve in water-miscible solvents for subsequent dilution into aqueous reaction mixtures.
Product Name: | Cy3 azide trisulfo |
Synonyms: | Cy3 azide, trisulfo |
CAS Number: | N/A |
Molecular Formula: | C35H46N6O10S3 |
Molecular Weight: | 806.97 |
SMILES: | CC1(C)\C(=C/C=C/C2=[N+](CCCCCC(=O)NCCCN=[N]#N)C3=CC=C(C=C3C2(C)C)S(O)(=O)=O)N(CCCS([O-])(=O)=O)C2=CC=C(C=C12)S(O)(=O)=O |
Purity (HPLC): | ≥ 95% |
Shipping Conditions: | room temperature |
Storage Conditions: | Refrigerated |
Regulatory Statement: | For Research Use Only |